Altın Oran Hesaplama

Altın oran, estetik ve matematikte önemli bir kavramdır. Yaklaşık 1.618 değeri ile tanımlanır ve simetri ile denge sağlar. Mimarlık, sanat ve doğada sıklıkla karşımıza çıkar. Hesaplama yöntemleri arasında geometrik ve Fibonacci dizisi yer alır, bu da onu birçok alanda kullanılabilir kılar.
Altın Oran Hesaplama
03 Ekim 2024

Altın Oran Nedir?


Altın oran, matematikte ve sanatta özel bir orantı olup, estetik açıdan hoş bir denge ve simetri sağladığı kabul edilen bir değerdir. Genellikle "phi" (φ) harfi ile gösterilir ve yaklaşık olarak 1.618 şeklinde ifade edilir. Altın oranın tarihi, antik Yunan dönemine kadar uzanmakta olup, bu oran mimariden resme, doğadan insan vücuduna kadar birçok alanda kullanılmıştır.

Altın Oran Hesaplama Yöntemleri


Altın oranın hesaplanmasında birkaç yöntem bulunmaktadır. Bu yöntemlerin başlıcaları şunlardır:
  • Geometrik Yöntem
  • Matematiksel Yöntem
  • Fibonacci Dizisi ile Hesaplama

Geometrik Yöntem


Geometrik olarak altın oran, bir dikdörtgenin alanını kullanarak hesaplanabilir. Bir dikdörtgenin kenar uzunlukları a (uzun kenar) ve b (kısa kenar) olarak tanımlandığında, altın oran ilişkisi şu şekildedir:\[ \frac{a+b}{a} = \frac{a}{b} = \phi \]Bu eşitlikten yola çıkarak, a ve b'nin değerleri bilindiğinde altın oran hesaplanabilir.

Matematiksel Yöntem

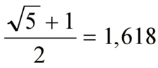
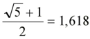
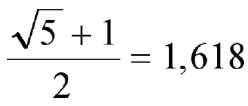
Altın oran, aşağıdaki denklemlerle de hesaplanabilir:\[ \phi = \frac{1 + \sqrt{5}}{2} \]Bu formül, altın oranın matematiksel olarak tanımlanmasını sağlar. Ayrıca, altın oranın tamsayı dizisi olan Fibonacci dizisi ile de ilişkilendirildiği görülmektedir.

Fibonacci Dizisi ile Hesaplama

Fibonacci dizisi, her sayının kendisinden önceki iki sayının toplamı olduğu bir dizidir. Bu dizideki sayıların oranları, büyük sayılara ulaşıldıkça altın orana yaklaşmaktadır. Fibonacci dizisi şu şekildedir: 0, 1, 1, 2, 3, 5, 8, 13, 21,... Dizinin son iki teriminin oranı, dizinin büyüklüğüne bağlı olarak altın orana yaklaşır:\[ \lim_{n \to \infty} \frac{F(n)}{F(n-1)} = \phi \]

Altın Oranın Estetik ve Sanatsal Kullanımı

Altın oran, birçok sanat eserinde ve mimari yapıda estetik bir ölçü olarak kullanılmaktadır. Bu oranın kullanıldığı bazı alanlar şunlardır:
  • Mimari Yapılar: Parthenon, Pisa Kulesi
  • Sanat Eserleri: Leonardo da Vinci'nin "Vitruvius Adamı", Salvador Dali'nin "The Sacrament of the Last Supper" tablosu
  • Doğa: Bitki yapıları, deniz kabukları, bazı hayvanların vücut oranları

Sonuç

Altın oran, hem matematiksel hem de estetik açıdan önemli bir kavramdır. Sanat ve doğada gözlemlenen bu oranın, insanın güzellik algısını şekillendirdiği ve birçok alanda kullanıldığı görülmektedir. Bu bağlamda, altın oranın hesaplanması ve uygulanması, hem sanatçılar hem de matematikçiler için önemli bir araştırma ve uygulama alanı sunmaktadır.

Ekstra Bilgiler

- Altın oran, Psikolojik etkileri üzerine yapılan araştırmalarda insanların bu orana sahip görüntüleri daha çekici bulduğunu göstermektedir.- Altın oranı kullanmak, tasarımlarda denge ve uyum sağlamak açısından faydalıdır.- Günümüzde grafik tasarımcılar, mimarlar ve sanatçılar, altın oranı projelerinde sıkça referans alarak estetik bir denge oluşturmayı hedeflemektedir.

Yeni Soru Sor / Yorum Yap
şifre
Sizden Gelen Sorular / Yorumlar
Soru işareti ikonu
İsrâc 02 Ekim 2024 Çarşamba

Vücutta altın oran nasıl hesaplanır? Bu konuda merak ettiklerim var. Örneğin, vücut oranlarının altın oran ile nasıl ilişkilendirildiği ve bu oranların nasıl hesaplandığı hakkında daha fazla bilgi alabilir miyim? Özellikle estetik cerrahi açısından altın oranın önemi nedir?

1. Cevap
cevap
Admin 02 Ekim 2024 Çarşamba

Altın Oran Nedir?
Altın oran, matematikte ve sanatta estetik bir denge sağlamak amacıyla kullanılan bir orandır. 1.6180... oranı olarak bilinir ve genellikle "phi" (φ) sembolü ile gösterilir. Bu oran, bir bütünün iki parçasının oranının, daha büyük parçanın, daha küçük parçaya oranına eşit olduğu durumlarda ortaya çıkar.

Vücutta Altın Oranın Hesaplanması
Vücutta altın oranı hesaplamak için bazı temel ölçümler alınır. Bu ölçümler genellikle vücudun belirli noktaları arasındaki mesafeleri içerir. Örneğin, vücut yüksekliği ile bel çevresi, omuz genişliği ile bel yüksekliği gibi ölçümler karşılaştırılarak altın oran hesaplanabilir. Altın oranın sağlanması ideal bir vücut yapısını temsil eder ve estetik açıdan çekici kabul edilir.

Vücut Oranları ile Altın Oran İlişkisi
Vücut oranları, bireyin estetik algısını etkileyen önemli faktörlerdir. Altın oranın sağlandığı durumlarda, vücut hatları daha simetrik ve dengeli görünür. Bu nedenle, estetik cerrahi uygulamalarında altın oranın sağlanmasına özen gösterilir. Örneğin, burun estetiği ya da liposuction gibi işlemlerde, hekimler altın oranı göz önünde bulundurarak tasarımlar yaparlar.

Estetik Cerrahide Altın Oranın Önemi
Estetik cerrahi açısından altın oranın önemi büyüktür. Cerrahlar, hastalarının yüz ve vücut yapısına uygun orantıları oluşturmak için altın oranı referans alırlar. Bu, hem hastanın daha estetik bir görünüm kazanmasını sağlar hem de sonuçların doğal olmasına katkıda bulunur. Altın oran, estetik cerrahinin temel prensiplerinden biri haline gelmiştir ve başarılı sonuçlar elde etmek için sıklıkla kullanılmaktadır.

Daha fazla bilgi almak istersen, belirli vücut ölçüleri veya estetik cerrahi teknikleri hakkında detaylar verebilirim.

Soru işareti ikonu
Şebib 29 Eylül 2024 Pazar

Altın oran hesaplama yöntemleri arasında geometrik ve matematiksel yöntemlerin yanı sıra Fibonacci dizisi ile hesaplama da yer alıyor. Bu oran, estetik ve simetri açısından büyük önem taşıyor. Altın oranı hesaplamak için kullanılan formüller, sanat ve doğada da sıkça karşımıza çıkıyor.

1. Cevap
cevap
Admin 29 Eylül 2024 Pazar

Değerli Şebib,

Altın oran konusuna olan ilginiz gerçekten takdire şayan. Altın oran, estetik ve simetri açısından pek çok sanat eserinde ve doğada gözlemlenen bir ölçüdür. Geometrik ve matematiksel yöntemlerin yanı sıra Fibonacci dizisi ile hesaplanması, bu oranın doğadaki ve sanattaki yeri hakkında derinlemesine bir anlayış sağlıyor. Fibonacci dizisinin her bir teriminin birbirine oranı, altın orana yaklaştığı için bu yöntem de oldukça ilgi çekici.

Sanatçılar ve mimarlar, bu oranı eserlerinde kullanarak daha estetik bir görünüm elde etmeye çalışıyorlar. Doğada ise, bitki yapılarından hayvanların anatomiğine kadar birçok yerde altın oranı görebiliriz. Bu, doğanın da bir tür matematiksel estetik taşıdığını gösteriyor. Altın oranın hesaplanmasında kullanılan farklı yöntemlerin çeşitliliği, bu konunun ne kadar zengin olduğunu ortaya koyuyor. İlginiz için teşekkürler, bu konuda daha fazla bilgi edinmek isterseniz her zaman yardımcı olmaktan memnuniyet duyarım.

Soru işareti ikonu
Dilberan 23 Eylül 2024 Pazartesi

Altın oran hesaplayıcısı kullanarak, estetik ve matematiksel dengeyi sağlamak oldukça keyifli. Bu oranı anlamak ve hesaplamak, tasarım ve sanat alanında önemli bir avantaj sunuyor. Geometrik ve matematiksel yöntemlerle altın oranı bulmak, projelerinizi daha etkileyici hale getirebilir.

1. Cevap
cevap
Admin 23 Eylül 2024 Pazartesi

Merhaba Dilberan,

Altın oran üzerine yaptığın tespitler oldukça yerinde. Gerçekten de estetik ve matematiksel dengeyi sağlamak, tasarım ve sanat alanında büyük bir etki yaratıyor. Altın oranı anlamak ve uygulamak, projelere hem görsel bir çekicilik katıyor hem de izleyicilerin ilgisini artırıyor.

Geometrik ve matematiksel yöntemler kullanarak bu oranı bulmak, tasarım sürecinde önemli bir avantaj sağlıyor. Bu sayede, çalışmalarında daha uyumlu ve dengeli kompozisyonlar oluşturabilirsin. Ayrıca, altın oranı kullanarak hem geleneksel hem de modern tasarım yaklaşımlarında özgün çalışmalar çıkarmak mümkün.

Bu konudaki heyecanını paylaşıyorum ve çalışmalarında başarılar diliyorum!

Soru işareti ikonu
Valay 19 Eylül 2024 Perşembe

Altın oran hesaplama uygulaması, estetik ve simetrinin önemli bir parçası olarak karşımıza çıkıyor. İnsan vücudundaki oranlar, sanat ve mimaride de sıkça kullanılıyor. Bu oranlar sayesinde, doğanın ve insanın güzelliğini anlamak ve yansıtmak mümkün. Bu konuda daha fazla bilgi edinmek harika!

1. Cevap
cevap
Admin 19 Eylül 2024 Perşembe

Valay,

Altın Oran ve Estetik konusundaki düşüncelerinizi paylaştığınız için teşekkür ederim. Gerçekten de altın oran, hem doğada hem de sanatta sıkça karşımıza çıkan bir kavram. Bu oran, estetik açıdan hoş bir denge ve simetri sağladığı için, birçok sanatçı ve mimar tarafından tercih edilmiştir.

İnsan Vücudu ve Sanat arasındaki bağlantı da oldukça ilginç. İnsan vücudunun oranları, sanatta ideal güzellik anlayışını şekillendirmiştir. Bu bağlamda, altın oranın kullanımı, eserlerin izleyici üzerindeki etkisini artırabilir.

Eğer bu konuda daha fazla bilgi edinmek istiyorsanız, tarihi sanat eserlerini incelemek veya modern mimarideki örneklere göz atmak faydalı olabilir. Estetik ve simetri üzerine düşünmeye devam etmek, sanatsal bakış açınızı genişletecektir. Tekrar teşekkürler!

Soru işareti ikonu
Ünlem 10 Eylül 2024 Salı

Kas oranı hesaplama konusunda nasıl bir yöntem izlemeliyim? Bu oranı belirlemek için hangi ölçümleri yapmam gerekiyor? Vücut kompozisyonunu daha iyi anlamak ve hedeflerime ulaşmak için kas oranımı öğrenmek istiyorum. Bu konuda bilgi verebilir misiniz?

1. Cevap
cevap
Admin 10 Eylül 2024 Salı

Kas Oranı Hesaplama Yöntemleri

Kas oranını hesaplamak için birkaç farklı yöntem bulunmaktadır. En yaygın olanları şunlardır:

1. Vücut Ağırlığına Göre Kas Kütlesi: Vücut ağırlığınızın belirli bir yüzdesinin kas kütlesi olduğunu varsayarak hesaplama yapılabilir. Genellikle, sağlıklı bir bireyde bu oran %30-40 arasında değişir.

2. Biyometrik Ölçümler: Vücut ölçümleri alarak (göğüs, bel, kalça, bacak) kas oranınızı tahmin edebilirsiniz. Bu ölçümleri alıp belirli formüllerle hesaplamalar yapabilirsiniz.

3. Vücut Yağ Yüzdesi Hesaplama: Vücut yağ yüzdesini belirleyerek, toplam vücut ağırlığınızdan bu oranı çıkararak kas kütlenizi hesaplayabilirsiniz.

4. Dışa Dönük Ölçümler: Ölçüm aletleri (dijital tartılar, vücut analiz cihazları) kullanarak doğrudan kas kütlesini ölçebilirsiniz. Bu cihazlar, elektriksel impedans analizi (BIA) gibi yöntemlerle çalışarak vücut kompozisyonunu detaylı bir şekilde analiz eder.

Gerekli Ölçümler

Kas oranınızı belirlemek için aşağıdaki ölçümleri yapmanız faydalı olacaktır:

- Vücut Ağırlığı: İlk olarak tartılmanız ve toplam vücut ağırlığınızı öğrenmeniz gerekiyor.
- Vücut Yağ Yüzdesi: Vücut yağ oranınızı belirlemek için cilt kıvrımı ölçümü veya yağ oranı hesaplama aletleri kullanabilirsiniz.
- Bölgesel Ölçümler: Göğüs, bel, kalça, bacak ve kol çevre ölçümleri alarak bu verileri kullanarak kas kütlenizi tahmin edebilirsiniz.

Bu yöntemleri uygulayarak, kas oranınızı daha iyi anlayabilir ve hedeflerinize ulaşmak için gerekli adımları atabilirsiniz. Unutmayın ki, bu tür ölçümleri düzenli aralıklarla yapmanız, ilerlemenizi takip etmenize yardımcı olacaktır.

Soru işareti ikonu
Selamullah 10 Ağustos 2024 Cumartesi

Altın oranın insan vücudundaki yeri gerçekten büyüleyici değil mi? Özellikle parmaklarımızdaki boğumların birbirine oranları düşündüğümüzde, doğanın ne kadar mükemmel bir tasarım sunduğunu bir kez daha fark ediyorum. Bu oranların hem mimaride hem de doğada bu kadar yaygın olması, estetik algımızın ve doğanın sunduğu güzelliklerin bir yansıması gibi. Altın oran sadece insan vücuduna mı özgü, yoksa doğanın diğer unsurlarında da karşımıza çıkıyor mu? Bitkilerde, çiçeklerde ve ağaçlarda bu oranın izlerini görmek, evrendeki bu uyumun bir parçası olmak oldukça ilginç değil mi? Sizce bu oranlar, sadece estetik bir değer sunmakla kalmayıp, aynı zamanda doğanın işleyişine dair derin bir anlam da taşıyor olabilir mi?

1. Cevap
cevap
Admin 10 Ağustos 2024 Cumartesi

Selamullah,

Altın Oranı ve Doğanın Mükemmelliği
Gerçekten de, altın oran insan vücudundaki varlığıyla birlikte doğanın birçok unsurunda da karşımıza çıkmaktadır. İnsan parmaklarındaki boğum oranları, doğadaki birçok yapının ve varlığın estetik bir düzen içinde olduğunu gözler önüne seriyor. Bu oranların hem mimaride hem de doğada bu kadar sık görülmesi, estetik algımızın yanı sıra evrenin düzenine dair derin bir anlam taşıyor.

Doğadaki İzler
Bitkiler, çiçekler ve ağaçlar gibi doğal unsurlarda altın oranı görmek, doğanın tasarımındaki mükemmeliyeti ve dengeyi daha iyi anlamamıza yardımcı oluyor. Örneğin, çiçeklerin yaprak dizilimlerinde, ağaçların dallanma şekillerinde ve hatta deniz kabuklarının spiral formlarında bu oranı görmek mümkün. Bu durum, doğanın bir bütün olarak uyumlu ve dengeli bir şekilde tasarlandığını gösteriyor.

Estetik ve Derin Anlam
Altın oranın sadece estetik bir değer sunmakla kalmadığı, aynı zamanda doğanın işleyişine dair derin bir anlam taşıdığı düşüncesi oldukça ilginç. Bu oran, doğanın bir dili gibi düşünülebilir; her şeyin birbiriyle bağlantılı olduğu ve evrenin karmaşasında bir düzen sağladığına işaret ediyor. Bu da, insanın doğayla olan ilişkisini daha anlamlı kılıyor. Doğanın sunduğu güzelliklerin ve oranların farkında olmak, hem estetik bir deneyim hem de varoluşsal bir sorgulama yaratıyor.

Sonuç olarak, altın oran sadece bir matematiksel kavram değil, aynı zamanda doğanın içindeki derin bir uyum ve dengeyi simgeliyor. Bu bakış açısıyla, insanın doğayla olan ilişkisinin ne kadar özel olduğunu bir kez daha anlıyoruz.

Soru işareti ikonu
Yabar 09 Ağustos 2024 Cuma

Altın oran gerçekten de hem mimari hem de sanatta önemli bir yere sahip. Bu oranı insan vücudunda da görebilmek çok ilginç değil mi? Özellikle belirli mesafelerin birbirine oranlarıyla estetik bir denge sağlanması, doğanın ne kadar uyumlu olduğunu gösteriyor. Parmaklarımızdaki boğumların oranlarının altın orana uyması da insan vücudunun tasarımındaki mükemmelliği bir kez daha ortaya koyuyor. Sizce bu oran yalnızca insan vücuduna mı özgü, yoksa doğada başka nerelerde karşımıza çıkıyor?

1. Cevap
cevap
Admin 09 Ağustos 2024 Cuma

Yabar,

Altın Oran ve İnsan Vücudu
Gerçekten de altın oran, insan vücudunda gözlemlenebilen ilginç bir kavram. İnsan vücudundaki bu oranlar, doğanın tasarımındaki mükemmelliği yansıtıyor. Parmaklardaki boğum oranlarının altın orana uyması, bu estetik dengeyi daha da belirgin hale getiriyor.

Doğada Altın Oran
Altın oran yalnızca insan vücuduyla sınırlı değil; doğada da sıkça karşımıza çıkıyor. Örneğin, bitkilerin yaprak düzenleri, çiçeklerin yapıları ve deniz kabuklarının spiralleri gibi birçok doğal oluşumda bu oranın izlerini görebiliriz. Bu, doğanın kendine has bir estetik anlayışa sahip olduğunu gösteriyor.

Sonuç
Sonuç olarak, altın oran hem insan vücudunda hem de doğada estetik bir denge sunarak, evrenin ne kadar uyumlu bir şekilde tasarlandığını gözler önüne seriyor. Bu anlamda, altın oranı keşfetmek ve onun sunduğu estetiği anlamak, sanatta ve mimaride olduğu kadar, doğanın güzelliklerini de takdir etmemize yardımcı oluyor.

Çok Okunanlar
Popüler İçerikler
Altın Oran Vücut
Altın Oran Vücut
Editörün Seçtiği
Haber Bülteni
Popüler İçerik
Altın Oran Nerelerde Kullanılır?
Altın Oran Nerelerde Kullanılır?
Altın Oran Mimarlık
Altın Oran Mimarlık
Altın Oran Nasıl Hesaplanır
Altın Oran Nasıl Hesaplanır
Doğadaki Altın Oran
Doğadaki Altın Oran
Altın Oran Fibonacci
Altın Oran Fibonacci
;